名词解释
应变计零点漂移
在温度恒定的条件下,即使被测构件未承受应力,应变计的指示应变也会随时间的增加而逐渐变化,这一变化即称为零点漂移,或简称零漂。
应变花
在同一基底上有两个或两个以上敏感栅排列成不同方向,用于测定测点主应力和主应力方向。
压力效应
处于高压容器内壁的应变计,除了随容器受压引起应力应变外,还由于高压介质对应变计敏感栅的压力引起电阻变化,导致附加的应变,这种现象称为压力效应。
传感器标定
通过对传感器输出数据与已知标准数据进行比较,确定传感器的量程、灵敏度、温度漂移等参数的过程。
传感器线性度
通常为了方便标定和处理数据,要求传感器的输出-输入关系式线性的。线性度指的是在标准条件下,传感器校准曲线与拟合直线之间最大偏差与满量程输出值的百分比。
应变计灵敏系数
电阻应变计灵敏系数和电容应变计灵敏系数。电阻变化率△R/R和引起此电阻变化的构件表面在应变计轴线方向的应变之比,电容应变计的电容相对变化△C/C与引起此变化的构件表面在应变计轴线方向的尺寸相对变化之比。
应变计热输出
应变计安装在具有某线膨胀系数的试件上,试件可自由膨胀并不受外力作用,在缓慢升(或降)温的均匀温度场内,由温度变化引起的指示应变,用表示。
应变计疲劳寿命
已安装的应变计,在恒定幅值的交变应力作用下,连续工作到疲劳损坏时的循环次数。
弹性元件
把被测参数由一种物理状态(如:力、力矩、压力)变换为另一种所需要的相应物理状态(如:应变位)的元件。
释放系数
材料在应力作用下释放的残余应力所占应力的比例。
横向效应系数
横向灵敏系数与轴向灵敏系数之比称为横向效应系数
H=\frac{K_y}{k_x}简述
如何理解应变电测技术中的热输出?请简要说明各种补偿方法。
(1)热输出(2分)
应变计安装在具有某线膨胀系数的试件上,试件可自由膨胀并不受外力作用,在缓慢升(或降)温的均匀温度场内,由温度变化引起的指示应变,用 表示。热输出是应变片受温度变化引起的虚假输出。
(2)补偿方法(3分)
电路补偿法,直接补偿法,自补偿法。
请叙述钻孔法与电阻应变测试技术相结合测试残余应力的基本原理及实验步骤。
有点多。
简述用电测方法测量均质、各向同性材料弹性模量、泊松比的原理和测试步骤,包括布片方案、桥路图以及弹性模量、泊松比测量的输出电压表达式。并分析测试误差来源。
一个电阻应变片的敏感栅是由直径为0.001英寸的铜镍合金丝绕成。其中应变片敏感栅合金丝每英寸长度的电阻是25欧姆, 敏感栅的栅长L=2.0英寸,敏感栅合金丝的总电阻是500欧姆。请简要画出这个应变片敏感栅的几何示意图,并标出节距b和栅长L。(1 英寸 = 2.54 厘米)

n=\frac{R}{R_0L}=\frac{120}{20\cdot 2}=3请简要阐述电阻应变计式传感器工作原理,并列举出3个日常生活中常见的电阻应变计式传感器。
1工作原理: 应变计式传感器由弹性元件和应变计桥路构成,弹性元件在被测物理量作用下产生与其成正比的应变,然后用电阻应变计将应变转换为电阻变化。(3分)
2举例:电子秤的测力传感器、热水器中的温度传感器、扭矩扳手的测扭矩传感器等。(2分)
请写出应变计的五种接桥方法。
一个测量应变计方法;一个测量应变计,一个温度补偿应变计方法;两个测量应变计方法;四个测量应变计(全桥)接法;一个测量应变计三线接法
请阐述数字图像相关方法基本原理,并指出两种典型相关函数。
(1)数字图像相关方法基本原理(3分)
从物体变形前的散斑图(参考图像)中选取一个(2M+1)×(2M+1)的小区域(称为参考子区域)。通过一定的搜索方法,并按某一相关函数C来进行相关计算,以此搜索变形后的散斑图(变形图像)中与之匹配(相同或最接近)的子区域(称为变形子区域)。搜索成功后,就得到了该区域的位移和变形的信息。
(2)典型相关函数(2分)
直接互相关函数,标准化互相关函数,标准化协方差互相关函数,等。
请简述应变计粘贴方向对应变测量误差的影响。
设预定的基准线与主方向的夹角为φ,应变计实际粘贴方位与主方向的夹角为φ’
粘贴的角偏差
对于平面问题,主应变为和
,则预定基准线方向上的应变为
              (1分)
实际应变计方向上的应变为
          (1分)
绝对误差
(1分)

不仅与角度误差
有关,还与角度
有关。当预贴片方向与主应力方向重合,即
或90°时,测量误差
最小;当预贴片方向与主应力方向成45°时,即
=45°时,测量误差
最大。(2分)
请写出五种光测力学方法
云纹法,光弹法,数字图像相关法,全息干涉法,栅线投影法,等等
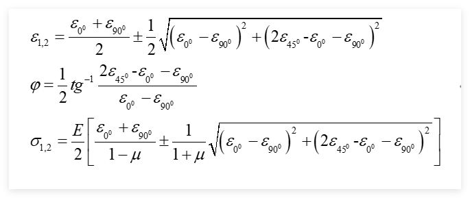
什么是应变花?针对均质、各向同性材料,请推导45度三轴应变花的主应力和主应力方向的计算公式。
应变花(3分)
就是将多个应变片沿着不同方向贴在同一基底上,用于测量主应力方向未知的面应力或点应力。
对于单向应力状态,只需要在测点布置单轴应变片。
对于平面应力状态,主方向已知则布置双轴应变花,主方向未知则采用三轴应变花。
45度应变花计算公式推导(7分)

联立上面三式可得:

因此可得

光测部分
1. 如何获得圆偏振光?
将线偏振光依次通过一块1/4波片(快轴与偏振方向成45°),即可得到圆偏振光。
2. 简述应力-光学定理(光力定理)
材料在主平面内的主应力差 Δσ = σ₁ – σ₂与对应光弹性条纹的条纹级数 N成正比:
\Delta\sigma = \frac{N f}{h}
其中,f 为材料条纹系数,h 为试件厚度。
3. 对径受压圆盘/纯弯梁测定 f 的原理
应力分布解析已知,通过测量某点的条纹级数 N,代入光弹性公式反求条纹系数:
f = \frac{\Delta \sigma \cdot h}{N}- 等差线图处理:通过绘制 N 与 Δσ 之间的线性关系图,拟合斜率即为 f/h,再求出 f。
 
4. 旋转检偏镜确定非整数级条纹
转动检偏镜观察某点亮度变化,最暗处为整数级条纹;偏离最暗时为非整数级,根据明暗程度估算小数部分。
5. 区分等差线与等倾线
- 等差线(等色线):由主应力差引起,随载荷变化。
 - 等倾线:由光传播方向与主应力方向夹角变化引起,与载荷无关。
 - 变化规律:改变载荷只改变等差线,不改变等倾线。
 
6. 压钉法测量边界应力
边界施加小力(压钉),观察条纹变化方向判断原应力符号。
- 计算边界应力值:使用光弹性基本公式,通过边界附近的 N 值反算应力。
 
7. 暗场与亮场光路图与判定
- 亮场光路:偏振片(0°)→试件→检偏镜(0°)
 - 暗场光路:偏振片(0°)→试件→检偏镜(90°)
 - 判定方法:调节偏振片,若无载试件时全黑,为暗场;亮为亮场。
 - 偏振轴校准:使用旋光片或已知试件调整,确保偏振方向水平/竖直。
 
8. 使用白光目的与色序变化原因
- 目的:获得清晰的等色线,易于判别条纹级数。
 - 色序变化原因:白光中不同波长干涉条件不同,形成彩色条纹。
 
9. 绘制等倾线的方法与规律
- 方法:旋转检偏镜、旋转试件或偏振片。
 - 规律:等倾线呈中心对称或镜面对称分布,随入射光方向改变而变化。
 
10. 为何需要圆偏振光场+光路图与说明
- 原因:消除等倾线干扰,仅观察等差线。
 - 圆偏振光路图: swift复制编辑
白光源 → 偏振片 → 1/4波片(45°)→ 试件 → 1/4波片 → 检偏镜 - 各元件作用:
- 偏振片:产生线偏振光
 - 1/4波片:转化为圆偏振光
 - 检偏镜:分析干涉条纹
 
 
11. 等差线(等色线)条纹级数判定
- 以试件某一确定点为零级条纹,向外逐级计数。
 - 使用颜色序列或干涉级次连续性判断整数与非整数条纹。
 
12. 全息干涉法中相位差与位移关系
- 两次曝光间物体某点相位差 Δφ 与位移 Δx 成正比。
 
\Delta \phi = \frac{2\pi}{\lambda} \cdot 2 \Delta x \cdot \cos\theta- 要得到垂直位移:光源照射方向 = 观察方向(即垂直于试件表面)。
 
13. 主应力与条纹关系方程
- 光弹性法:
 
\sigma_1 - \sigma_2 = \frac{N f}{h}- 全息光弹性法(等和线):
 
\sigma_1 + \sigma_2 = \frac{N' f'}{h}- 原因分析:
- 等差线只表示应力差,因此只需非负。
 - 等和线表示应力和,存在负值(拉应力为正,压应力为负)。
 
 
14. 等和线条纹级数判定
- 需结合理论应力分布与实验图像比对,选定某一点为零级或已知级数点,逐级向外数。
 
15. 全息光弹性法光路图与摆放要求
- 光路图: 
激光器 → 分束镜 →(1)物光 → 试件 (2)参考光 → 感光板曝光两次后干涉形成条纹。 - 要求:
- 物光与参考光同频
 - 环境振动小
 - 确保记录方向与物体位移方向一致
 
 
16. 全息光弹性法中分离等差线和等和线的方法
- 基本原理:改变光源与观察角度,使干涉条纹只对某一类应力(和或差)敏感。
 - 分离方法:
- 使用不同方向光源(入射方向调节)
 - 分别拍摄得到两组条纹(分别反映 σ₁ – σ₂ 和 σ₁ + σ₂)
 
 
17. 光栅方程及参数含义
d\sin\theta = k\lambda
- d:光栅间距
 - θ:衍射角
 - k:级数(整数)
 - λ:波长
 
18. 双曝光散斑图逐点分析法
- 光路图: 复制编辑
激光 → 扩束 → 试件(两次曝光)→ CCD/底片记录 - 原理:前后两次散斑图干涉,形成条纹,反映位移差;逐点分析图像差异得到位移分布。
 
